第六章 金戈铁马:东西方帝国与外来入侵者的斗争

最美好的归宿:东西方社会发展的衰退

“在此最完善的世界上,万物皆有归宿,此归宿自然是最完美的归宿。”在伏尔泰的经典喜剧作品《老实人》(Candied)中,导师邦葛罗斯孜孜不倦地重复着他的乐观主义哲学。在书中,邦葛罗斯先后遭遇一连串的厄运:感染梅毒,一只眼睛失明,半截耳朵溃烂,遭人囚禁奴役,被宗教裁判所施以绞刑,甚至接连遭遇两次地震。尽管如此,他仍然坚持“一切皆善”的说教。

当然,邦葛罗斯这个人物是伏尔泰跟读者开了一个小玩笑,用来讽刺当代哲学的愚昧无知,但是历史上确实曾经涌现出许多真实的“邦葛罗斯”。在公元后的前几个世纪,东西方核心都被非常富庶的强大帝国所主宰。一位中国诗人曾这样描写:“帝王出游,场面极尽奢华。欢愉无尽,绵延数万年。”对于罗马帝国,古希腊雄辩家阿里斯提得斯(Aristides)更加热情洋溢地赞叹:“为了帝国的永存,文明世界一齐祈祷。请求所有的神一起赐予这个帝国,赋予这个城市永恒的繁荣,永不消逝,直到石头漂浮在海面上,直到草木再不发芽。”

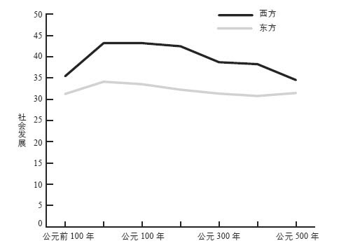
那么这些“邦葛罗斯”到底做了些什么,从而导致了图6-1中的情形?东西方的社会发展在公元前1世纪左右达到巅峰,随后不约而同地出现衰退。这种衰退与之前相比又更进一步。它不仅范围更为广泛,波及欧亚大陆两端,而且影响程度更深,持续时间更长,长达数个世纪。截至公元400年,东方社会发展的衰退程度超过了10%;截至公元500年,西方社会的发展程度倒退了20%。据统计,西方世界社会发展占据领先地位长达14000年,本章旨在向广大读者展现其末尾阶段,并探讨这次衰退的根源所在。

图6-1 一个旧世界——大规模衰退:古代帝国的巅峰时期、衰退时期以及瓦解时期(公元前100~公元500年)

秦汉和罗马帝国统治下的世界新秩序

古代帝国也不全是“邦葛罗斯”式的人。经历了数百年的战火纷飞、生灵涂炭,我在第五章中提及的“暴力的悖论”——战争最终引导和平繁荣的事实——才逐渐变得清晰起来。统一战争刚结束,秦国和罗马帝国这两个超级大国就在血腥残暴的内战中诞生。秦国很快稳定下来,并日益强大,而罗马帝国则经历了更为漫长的过程。

在征服战争中,秦朝中央集权的强制机构做出了杰出的贡献,但是在和平统治阶段,这种机构的运作结果并不理想。公元前221年,秦国消灭了最后的敌人,但是秦始皇继续在全国范围内征召男丁,这一次并不是为了打仗,而是为了派遣他们修建自己的陵寝。从某种角度来看,这些人的工作是卓有成效的,因为他们修筑了绵延数千公里的道路和运河。但从另一个角度来看,却远非如此。根据司马迁的记载,作为秦朝的第一位皇帝,秦始皇自命为“天子”,并寄希望于一些招摇撞骗之徒,靡费大量钱财寻求长生不老之药。也许就像现代人买保险那样,他花费36年时间,命令70万男丁修建帝陵。(考古学家已经在秦始皇陵挖掘出数百人的殉葬坑。)

这个占地20平方英里的中国墓葬建筑群(大部分还未被开掘)与埃及金字塔遥相呼应,不相上下。秦始皇陵是一个工作队于1974年挖掘水井时无意中发现的,现在已闻名遐迩。共有六千多尊真人大小的陶俑守卫着整个陵寝,它们是世界考古界的奇迹,然而令人惊奇的是,司马迁描述秦始皇陵时根本没有提及这些名震四方的兵马俑。司马迁将兵马俑略去,转而描述陵墓地下400码宽、周围环绕着水银仿制的秦国河流的青铜宫殿。(1981~2003年的探测调查发现,陵寝地下的土壤中含有大量水银。)司马迁还补充说,在公元前210年,秦始皇命令将他所有未生育过的嫔妃、知道陵寝秘密的匠人以及秦国数百名高级官吏一起在此陪葬。

秦始皇的暴政激起了社会各个阶层的强烈抵抗。王公贵族加以指责,秦始皇强制将其遣送回都城;知识分子站出来反抗,秦始皇活埋了460名反抗儒生;农民发动起义,他残忍地将叛乱者腰斩。[1]

由于秦始皇在国内实施恐怖统治,他刚驾崩就发生了大规模内乱。公元前209年的某天,故事拉开了帷幕:两名下级官吏必须及时将征召文件送去卫戍部队,但是由于突发暴雨,导致他们无法完成任务。而根据秦律,延误军务必定招来杀身之祸。根据司马迁记录,其中一人说:“今亡亦死,举大计亦死,等死,死国可乎?”于是发动起义。

正如他们预料的那样,两名起义者很快被处死,但是他们的义举很快传遍全国。不出几个月,中国又回到了大一统之前各国混战的状态。公元前206年,秦朝覆灭,叛乱演变成可怖的内战。经历四年的野蛮屠杀之后,农民出身的刘邦掌握了局势,随后建立了汉朝。他将8万名俘虏全部处死,宣告从此天下太平,史称汉高祖(或汉高帝)。[2]